Das fairste Vergütungsmodell der gesamten Branche!
Für uns steht der erfolgreiche Abschluss unserer Ausbildung an oberster Stelle, doch wissen wir auch, dass der Erfolg von vielen Faktoren abhängt. Wir möchten, dass du die größtmögliche Freiheit in der Gestaltung deiner Ausbildung hast und kein finanzielles Risiko eingehst.
Unsere Ausbildung ist daher erfolgsbasiert! Ja du hast richtig gelesen. Nach der Entrichtung einer Startgebühr kommen erst weitere Kosten auf dich zu, wenn du einen Abschnitt der Ausbildung nachweislich erfolgreich abschließt. Anhand von entsprechenden Aufgaben prüfen wir deinen Fortschritt und erst wenn du einen Abschnitt wirklich beherrschst, geht es für dich in der Ausbildung weiter. Alle Informationen zu den Kosten und Inhalten der Ausbildung erhältst du weiter unten.
KSM Trading – Erfolgreich traden mit Logik und Marktverständnis.
1. Verstehen und umsetzen!
Erfolgreich traden geht nur, wenn du wirklich verstehst was dort auf dem Chart eigentlich passiert. Ein umfangreiches Verständnis gibt dir Sicherheit korrekt zu handeln und erfolgreiche Trades umzusetzen.
Disziplinlosigkeit, Emotionalität und Overtrading sind für dich mit unserer KSM Trading-Ausbildung keine unüberwindbaren Hürden mehr.
2. Auf Basis typischer Marktstrukturen.
Wie Kurse von den Börsen ermittelt werden und die Art und Weise wie sich Märkte bewegen ist immer gleich. Diese Gesetzmäßigkeit lässt sich ableiten, weil sich große Volumen nicht anders in die Märkte bringen und wieder herausnehmen lassen.
Unser klassischer Tradingansatz funktioniert auf Basis dieser typischen Marktstrukturen, die wir auch für unsere systematische Strategie nutzen. Hier lernst du dies zu verstehen und selbst anzuwenden.
3. Professionelle Komplettausbildung.
Du startest von der ersten Stunde der Ausbildung an mit Praxisübungen und tauchst im Laufe der Ausbildung in ein immer tieferes Verständnis ein. So wird dir nicht nur das nötige Fachwissen beigebracht, sondern du setzt dein neues Wissen direkt in der Praxis um. (Demotrading natürlich!)
Deine Übungen stellst du ganz einfach in die entsprechenden Bereiche ein und erhältst direktes Feedback durch ein Feedbackvideo.
Das bekommst du in unserer klassischen KSM Trading-Ausbildung.
Du hast Fragen? Wir haben Antworten!
Es gibt für die Ausbildung keine zeitliche Begrenzung. Hast du einmal den Zugang erhalten, bleibst du solange dabei, wie du schlussendlich brauchst.
Dies hängt von vielen Faktoren ab. Wichtig ist in erster Linie, dass du konsequent mitarbeitest, die Übungen regelmäßig machst und so oft es geht an den Workshops teilnimmst.
Du solltest dir jedoch mindestens 12 Monate Zeit geben. Das ist der Zeitraum, in dem ein absoluter Tradinganfänger sämtliche Inhalte ausreichend geübt haben sollte.
Denk jedoch daran, dass du im Grunde nie auslernst. Die KSM Trading-Ausbildung ist nur der Start in deine Trading-Karriere.
In der KSM Trading-Ausbildung erhältst du ein umfassendes Marktverständnis.
Basis unseres Tradings sind das analysieren und nutzen von Marktstrukturen, bei dem die Trendanalyse einen sehr großen Anteil hat. Ziel ist es konform mit der Masse der Marktteilnehmer zu handeln und daher liegt der Fokus auf Trendfolgetrading, aber du lernst auch antizyklisches Trading.
Die Prinzipien, die du in unserer Ausbildung lernst, lassen sich in jedem Markt und in jeder Zeiteinheit umsetzen, weil Marktstrukturen überall gelten.
In der Ausbildung lernst du das Trading im Daytradingbereich, weil es einfach mehr Chancen gibt und du so schneller Erfahrung sammelst. Jedoch wenden wir die Techniken selbst über die gesamte Bandbreite von Daytrading in Indizes bis hin zu unseren Langfristinvestments in Aktien an.
Generell gilt, dass du die Ausbildung unabhängig des von dir gewählten Bezahlmodells (Selbstzahler oder Rabatt) vollständig und ausschließlich über ein Demokonto absolvierst und erst bei nachweislich beständig positiven Ergebnissen der Schritt zum Echtgeldhandel erfolgen sollte.
Somit benötigst du für die Ausbildung kein Mindestkapital.
Wenn du einen unserer Rabatte für die Ausbildung nutzen möchtest, dann geht dies über die Eröffnung eines Echtgeldhandelskontos bei einem unserer Partnerbroker. Der Broker übernimmt dann durch Zahlung einer Vermittlungsprovision einen Teil oder die vollständigen Kosten.
Der Handel im Rahmen der Ausbildung erfolgt jedoch immer in einem Demokonto!
Ausdrücklich NEIN!
Du startest den Handel zunächst in einem Demokonto und erst wenn du nachweislich über die entsprechende Auswertung profitabel tradest, kannst du langsam in den Echtgeldhandel starten. Es bleibt jedoch zu jeder Zeit deine freie Entscheidung!
Je nach Rabatt, den du nutzen möchtest, stehen dir für den Zugang über die Brokervermittlung unsere Partnerbroker XTB, ActivTrades und GBE Brokers zur Verfügung. Jeder Broker hat allerdings etwas andere Anforderungen, wie die Vermittlungsprovisionen zustande kommen.
Wir leiten dich entsprechend an, sobald du dich für die Ausbildung angemeldet hast.
Die Ausbildung findet auf Discord in unserer TradeCamp Community statt. Der erste Schritt ist, dass du dich zunächst für den Discord-Server anmeldest und dort den allgemeinen Verifizierungsprozess abschließt.
Auf dem Discord-Server selbst ist noch einmal alles ganz genau erklärt.
Weiter unten findest du noch einmal eine Anleitung in 4 Schritten.
Einblick in den Bereich auf Discord.
Hier geben wir einen kurzen Einblick in den Ausbildungsbereich innerhalb der TradeCamp Community.
WICHTIG! Wir legen großen Wert darauf, dass du für dich die richtige Entscheidung triffst. Daher schaue dir alles in Ruhe an.
INFO: Das Video zeigt noch alte Konditionen! Neues Video folgt in Kürze.
Das kostet die KSM Trading-Ausbildung.
- 97€ Startgebühr
- danach erfolgsbasiert
- Freie Brokerwahl
- Broker ActivTrades oder GBE
- Ab 5.000€ Kapital
- Keine weiteren Kosten
- Broker XTB, ActivTrades, GBE
- Ab Mindesteinzahlung Broker
- Freie Brokerwahl
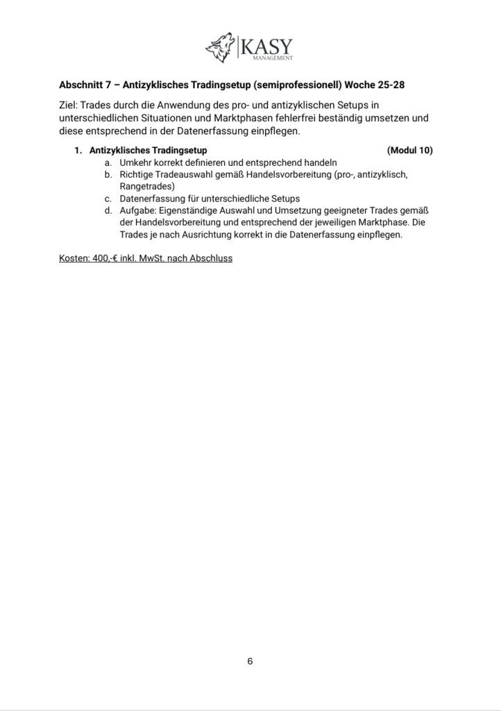
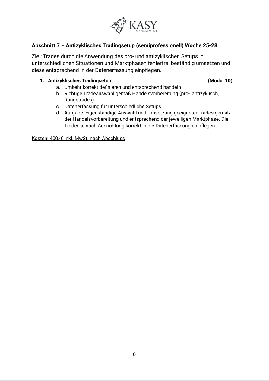
Inhalte und Kostenplan.
Auf die Seiten klicken, um diese zu vergrößern.
So geht es jetzt für dich weiter.
DISCLAIMER | Wichtiger Hinweis
Der erfolgreiche Abschluss der KSM Trading-Ausbildung ist maßgeblich von dem persönlichen Zeitinvest und der Fähigkeit die Inhalte, Aufgaben und Übungen zu verstehen und umzusetzen abhängig. Es werden sämtliche Inhalte vermittelt, die für die beständige Umsetzung unseres Handelskonzepts benötigt werden. Obwohl die Ausbildung einem didaktischen Prinzip folgt, können wir keine Garantie auf einen erfolgreichen Abschluss der Ausbildung geben.










